El colchon de una cama de agua mide 2 m de argo por 2 m de ancho y 30 cm de profundo.
a) encontrar el peso del agua en el colchon
w = mg Vcolchon= 2x2x .30 = 1.2 m3
P= m/v = m= pv (100kg/m3)(1.2m3)
m=12000kg
ejemplo #2
Variacion de la presion con la profundida
La presion P a una profundida h debajo de un punto del liquido al cual la presion es P° es mayor a una cantidad P,g,h
La presion absoluta en agua a una profundida de 5 m es de 145 kPa
a) la presion atmoferica local
b) la presion absoluta a una profundida de 5 m en un liquido cuya densidad relativa es de 0.85 en el mismo lugar
ejemplo #3
En un elevador de atomoviles en una estacion de servicios el aire comprimido ejerce una fuerza sobre un pequeño piston que tiene una seccion tanversal circular y un radio de 5 cm. Esta presion se transmite mediante un liquido a un piston que tiene un radio de 15 cm-.¿ Que fuera debe ejercer el aire comprimido para elevar un automovil que pasa 13.300 N? ¿Que presion de aire produce esta fuerza?
Medicion de presion
P= densidad del fluido
h= columna del fluido
las cuales sus formula seria :
ejemplo #4
El agua en un recipiente se presuriza con aire y la presion se mide por medio de un manometro de varios fluids.El recipiente se localiza en unna montaña a una actitud de 1400m donde la presion atmoferica es 85.6 KPa. Determine la presion del aire en el recipiente si h1= 0.1 m , h2= 0.2 m y h3 = 0.35 m .Tome las densidades del agua,aceite y mercurio iguales a 1000 kg/m3 , 850 kg/m3 y 13600 kg/m3 respectivamente.
Barometro
Instrumento para medir la presión atmosférica.
Ejemplo #5
el barometro basico se puede utilizar para medir la latura de un edificio, si las lecturas en la parte superio y en la base del edificio son 730 y 755 mm Hg. respectivamente, determine la altura del edificio.Tome las densidades del aire y del mercurio como 1.18 kg /m3 y 13600 kg/m3, respectivamente.
Diferencia de temperatura


Ley cero de la termodinámica (R.H. Fowler, 1931)
la termodinámica, por definirla de una manera muy simple, fija su atención en el interior de los sistemas físicos, en los intercambios de energía en forma de calor que se llevan a cabo entre un sistema y otro. A las magnitudes macroscópicas que se relacionan con el estado interno de un sistema se les llama coordenadas termodinámicas; éstas nos van a ayudar a determinar la energía interna del sistema

ejemplo #6
Una campana de 250mm de diámetro se coloca sobre una superficie plana y el aire se evacua hasta un vacio de 700mm de Hg, el barómetro local da una lectura de 760mm. Encuentre la presión absoluta dentro de la campana.

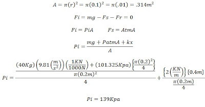
ejemplo #7










tengo una duda muy bien el ejemplo 3 me podrías explicar como sacaste el ultimo resutado es que la verdad lo hago como aparece pero me da un resultado distinto .
ResponderEliminar